Why Justice has Gone Chromatic
Taking a look at the palette of the mob.
Note: This article builds on The Binary of the Blind and draws heavily on my upcoming sociological framework, The Moral Colour Code: A Sociological Framework for Chromatic Moralism and Identity-Based Value Assignment.
For decades, we laboured under the delusion that the West was committed to a Universalist Ethics—the quaint idea that the right to life, the necessity of free speech, and the condemnation of violence applied to everyone equally, regardless of who they were. That project is dead. In its place, we’ve installed a sophisticated, subconscious heuristic I call the Moral Colour Code (MCC).
Under the MCC, the moral quality of an event is no longer determined by the act itself, but by what I refer to as the identity-chromatics of the participants. Here, ‘identity-chromatics’ means the social and identity-based categorisation, such as race, gender, class, or group status, that influences perceived moral status. It is not merely a bias; it is an operating system that filters reality to ensure that ‘The Oppressed’ are shielded from criticism while ‘The Oppressor’ is excluded from the protections of human rights and civil discourse.
The Three Tints of Dehumanisation
The MCC functions as a chromatic filter that dictates public empathy through three primary ‘Moral Tints’:
The Protective Tint (The Green Zone): Applied to groups at the ‘vulnerable’ tier of the intersectional hierarchy. Here, actions that would be objectively condemned—censorship or political violence—are reframed as ‘resistance’. The actor is effectively granted a moral vacuum, shielded from the consequences of their actions.
The Erasure Tint (The Grey Zone): This is reserved for victims who do not serve the prevailing narrative. Their suffering is treated as a sociological inevitability rather than a moral tragedy. It is a form of systemic omission where the deaths or silencing of ‘privileged’ individuals are met with apathy.
The Culpability Tint (The Red Zone): This is the most aggressive application of the Code. Individuals coded here are viewed as existing outside the moral circle. Consequently, the suspension of their rights—due process, free expression, even the right to life—is seen not as a violation of liberal values, but as a ‘restoration of justice’.
The Hierarchy of the Green: The Feminist-Fundamentalist Paradox
When identity-based value assignment is the goal, the system eventually buckles under its own contradictions. We see this most clearly in Ozzano’s Feminist-Fundamentalist Paradox.
In a universalist world, we would defend the rights of women to be free from fundamentalist oppression as a matter of principle. But under the MCC, if a fundamentalist group is ‘coded Green’ because they oppose the West, their illiberalism is often ignored or ‘re-coded’ as cultural expression. This creates a hierarchy of the code, proving that some ‘Protective Tints’ are deeper green than others. The secular liberal protesters are left in the Grey Zone because their struggle complicates the anti-Western narrative.
The Semantic Laundry Service
The most insidious trick of the ‘so-called liberal’ is semantic re-coding. To avoid the cognitive dissonance of behaving like a fascist while claiming the mantle of progress, the MCC allows the brain to replace standard moral verbs with coded alternatives:
Violence is re-coded as resistance or liberation when performed by the ‘Green Zone’.
Censorship is re-coded as community safety or deplatforming harm when used to silence a ‘Red Zone’ actor.
Hate speech directed at a ‘Red Zone’ actor is re-coded as holding power to account.
This is how we end up with the Fascistic Paradox. Modern actors can maintain a ‘Liberal’ self-identity while practising standard fascistic behaviours because they have convinced themselves that the target is simply ineligible for liberal protections. By coding the enemy as ‘Red’, the standard rules of civil discourse are suspended with a clear conscience.
Institutional Capture: The Codified Palette
This isn’t just happening in the digital gutters of social media; it has achieved institutional capture. From the academy to corporate HR, the MCC is being codified into standard operating procedures.
The Academy: Universities have shifted from inquiry to identity-based validation, where historical and, in some cases, contemporary figures are graded on their identity-chromatics rather than their contributions to thought.
Corporate Governance: DEI frameworks often function as the formalised bureaucracy of the MCC, where ‘harassment’ is defined not by the nature of the speech, but by the ‘tint’ of the speaker.
The Legal System: We are removing the blindfold from Lady Justice. Through selective legalism, the application of laws, and even access to banking, now correlates more strongly with the actor’s tint than with the objective nature of the deed.
The Digital Panopticon and the Death of Empathy
The MCC is maintained through a digital panopticon of peer-enforced conformity. The primary tool of control is the threat of re-coding. Individuals in the protective or neutral zones know that if they offer empathy to a Red actor, they risk being ‘re-coded’ themselves—a form of ‘chromatic contamination’.
Psychologically, when an individual is ‘coded Red’, the brain’s ventromedial prefrontal cortex—responsible for processing empathy—undergoes selective deactivation. The observer no longer perceives their suffering as a human event, but as the removal of a ‘threat’ or a ‘stain’.
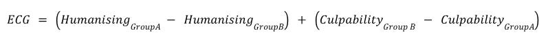
To measure the intensity of this shift, we utilise the Empathy-Culpability Gap (ECG) Index. This metric uses Natural Language Processing to compare the treatment of two identical actions performed by actors with opposing ‘chromatic’ assignments—a method known as the Paired-Event Model.
For example, when comparing unauthorised occupations of government buildings, we track the frequency of ‘humanising’ adjectives (e.g. passionate) versus ‘dehumanising’ ones (e.g. radicalised). A high ECG score indicates a strong presence of the Moral Colour Code, where the same act results in drastically different ‘sentimental’ outcomes based on the actor’s identity.
The upcoming Framework will fully explain this.
Reclaiming Reality
The Moral Colour Code is the greatest existential threat to a free and pluralistic society. It is the mental rewiring that allows for the illiberal Liberal—the person who champions human rights while cheering for their suspension when the ‘wrong’ person is targeted.
If the West is to survive, we must insist on what I’m calling Chromatic Neutrality. We must demand that our institutions judge the verb (the action), not the noun (the actor). If censorship is a fascistic act when the Right does it, it is a fascistic act when the Left does it.
Justice must be blind, or it is merely the aesthetic of the mob.



